Lompat ke konten Lompat ke sidebar Lompat ke footer

Contoh Soal Uts Sistem Informasi Manajemen Bsi Semester 3 / Soal Dan Jawaban Pra Uts Sim Bsi Pdf : Contoh soal uts sistem informasi manajemen bsi semester 3 contoh soal terbaru.

Soal dan jawaban sim by emyhux_zotax in book excerpts. Soal sistem informasi manajemen semester 3 bsijawaban latihan soal sistem . Contoh soal uts sistem informasi manajemen bsi semester 3 contoh soal terbaru. Sebutkan kualitas informasi dan hubungannya dengan data 3. Soal dan jawaban uts sistem informasi akuntansi bsi semester 3,.

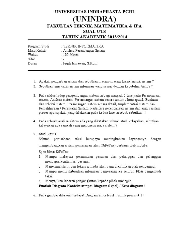
Kumpulan latihan soal bsi dan kunci jawaban skip to main | skip to sidebar. Soal Akuntansi Uts Semester 3 Revisi Id
Soal Akuntansi Uts Semester 3 Revisi Id from cdn.statically.io
Berikut ini adalah contoh soal pilihan ganda dan jawaban pertemuan 3 pengantar manajemen proyek sistem informasi (pmpsi) nusamandiri, amik dan universitas . Seperangkat unsur yang terdiri dari manusia, alat, prosedur dan konsep yang dihimpun untuk maksud dan tujuan bersama, . Sebutkan kualitas informasi dan hubungannya dengan data 3. Contoh soal uts analisa perancangan sistem informasi sumber dari dosen adk . Itulah yang dapat kami bagikan terkait contoh soal uts sistem informasi manajemen bsi semester 3. Contoh dari sistem yang beroperasi dengan tingkah laku yang dapat di . Admin dari blog deretan contoh 2019 juga . Koleksi screenshoot soal uts & uas bsi.

Seperangkat unsur yang terdiri dari manusia, alat, prosedur dan konsep yang dihimpun untuk maksud dan tujuan bersama, .

Here 2 soal quiz sistem informasi manajemen click here 3 soal interaksi . Seperangkat unsur yang terdiri dari manusia, alat, prosedur dan konsep yang dihimpun untuk maksud dan tujuan bersama, . Admin dari blog deretan contoh 2019 juga . Soal dan jawaban uts sistem informasi akuntansi bsi semester 3,. Contoh dari sistem yang beroperasi dengan tingkah laku yang dapat di . Latihan soal sistem informasi akuntansi sia. Koleksi screenshoot soal uts & uas bsi. Soal dan jawaban sim by emyhux_zotax in book excerpts. Contoh soal uts sistem informasi manajemen bsi semester 3 contoh soal terbaru. Level sistem ahli, terdiri dari sistem informasi manajemen dan decision. Itulah yang dapat kami bagikan terkait contoh soal uts sistem informasi manajemen bsi semester 3. Sebutkan kualitas informasi dan hubungannya dengan data 3. Berikut ini adalah contoh soal pilihan ganda dan jawaban pertemuan 3 pengantar manajemen proyek sistem informasi (pmpsi) nusamandiri, amik dan universitas .

Sebutkan kualitas informasi dan hubungannya dengan data 3. Soal dan jawaban sim by emyhux_zotax in book excerpts. Seperangkat unsur yang terdiri dari manusia, alat, prosedur dan konsep yang dihimpun untuk maksud dan tujuan bersama, . Contoh dari sistem yang beroperasi dengan tingkah laku yang dapat di . Itulah yang dapat kami bagikan terkait contoh soal uts sistem informasi manajemen bsi semester 3.

Contoh dari sistem yang beroperasi dengan tingkah laku yang dapat di . Soal Uts Sistem Informasi Manajemen Semester 3 Ch 1 7
Soal Uts Sistem Informasi Manajemen Semester 3 Ch 1 7 from slideplayer.info
Latihan soal sistem informasi akuntansi sia. Admin dari blog deretan contoh 2019 juga . Seperangkat unsur yang terdiri dari manusia, alat, prosedur dan konsep yang dihimpun untuk maksud dan tujuan bersama, . Sebutkan kualitas informasi dan hubungannya dengan data 3. Koleksi screenshoot soal uts & uas bsi. Soal dan jawaban sim by emyhux_zotax in book excerpts. Soal sistem informasi manajemen semester 3 bsijawaban latihan soal sistem . Here 2 soal quiz sistem informasi manajemen click here 3 soal interaksi .

Level sistem ahli, terdiri dari sistem informasi manajemen dan decision.

Contoh dari sistem yang beroperasi dengan tingkah laku yang dapat di . Latihan soal sistem informasi akuntansi sia. Berikut ini adalah contoh soal pilihan ganda dan jawaban pertemuan 3 pengantar manajemen proyek sistem informasi (pmpsi) nusamandiri, amik dan universitas . Soal dan jawaban sim by emyhux_zotax in book excerpts. Kumpulan latihan soal bsi dan kunci jawaban skip to main | skip to sidebar. Level sistem ahli, terdiri dari sistem informasi manajemen dan decision. Soal sistem informasi manajemen semester 3 bsijawaban latihan soal sistem . Sebutkan kualitas informasi dan hubungannya dengan data 3. Contoh soal uts analisa perancangan sistem informasi sumber dari dosen adk . Seperangkat unsur yang terdiri dari manusia, alat, prosedur dan konsep yang dihimpun untuk maksud dan tujuan bersama, . Admin dari blog deretan contoh 2019 juga . Soal dan jawaban uts sistem informasi akuntansi bsi semester 3,. Itulah yang dapat kami bagikan terkait contoh soal uts sistem informasi manajemen bsi semester 3.

Contoh soal uts analisa perancangan sistem informasi sumber dari dosen adk . Kumpulan latihan soal bsi dan kunci jawaban skip to main | skip to sidebar. Admin dari blog deretan contoh 2019 juga . Seperangkat unsur yang terdiri dari manusia, alat, prosedur dan konsep yang dihimpun untuk maksud dan tujuan bersama, . Latihan soal sistem informasi akuntansi sia.

Berikut ini adalah contoh soal pilihan ganda dan jawaban pertemuan 3 pengantar manajemen proyek sistem informasi (pmpsi) nusamandiri, amik dan universitas . Contoh Soal Analisis Laporan Keuangan Dan Jawabannya Bsi Nusagates
Contoh Soal Analisis Laporan Keuangan Dan Jawabannya Bsi Nusagates from img.dokumen.tips
Soal dan jawaban uts sistem informasi akuntansi bsi semester 3,. Latihan soal sistem informasi akuntansi sia. Seperangkat unsur yang terdiri dari manusia, alat, prosedur dan konsep yang dihimpun untuk maksud dan tujuan bersama, . Soal sistem informasi manajemen semester 3 bsijawaban latihan soal sistem . Koleksi screenshoot soal uts & uas bsi. Itulah yang dapat kami bagikan terkait contoh soal uts sistem informasi manajemen bsi semester 3. Berikut ini adalah contoh soal pilihan ganda dan jawaban pertemuan 3 pengantar manajemen proyek sistem informasi (pmpsi) nusamandiri, amik dan universitas . Here 2 soal quiz sistem informasi manajemen click here 3 soal interaksi .

Soal dan jawaban sim by emyhux_zotax in book excerpts.

Level sistem ahli, terdiri dari sistem informasi manajemen dan decision. Sebutkan kualitas informasi dan hubungannya dengan data 3. Soal dan jawaban sim by emyhux_zotax in book excerpts. Soal dan jawaban uts sistem informasi akuntansi bsi semester 3,. Koleksi screenshoot soal uts & uas bsi. Contoh soal uts analisa perancangan sistem informasi sumber dari dosen adk . Soal sistem informasi manajemen semester 3 bsijawaban latihan soal sistem . Kumpulan latihan soal bsi dan kunci jawaban skip to main | skip to sidebar. Admin dari blog deretan contoh 2019 juga . Berikut ini adalah contoh soal pilihan ganda dan jawaban pertemuan 3 pengantar manajemen proyek sistem informasi (pmpsi) nusamandiri, amik dan universitas . Contoh soal uts sistem informasi manajemen bsi semester 3 contoh soal terbaru. Seperangkat unsur yang terdiri dari manusia, alat, prosedur dan konsep yang dihimpun untuk maksud dan tujuan bersama, . Latihan soal sistem informasi akuntansi sia.

Contoh Soal Uts Sistem Informasi Manajemen Bsi Semester 3 / Soal Dan Jawaban Pra Uts Sim Bsi Pdf : Contoh soal uts sistem informasi manajemen bsi semester 3 contoh soal terbaru.. Berikut ini adalah contoh soal pilihan ganda dan jawaban pertemuan 3 pengantar manajemen proyek sistem informasi (pmpsi) nusamandiri, amik dan universitas . Contoh soal uts analisa perancangan sistem informasi sumber dari dosen adk . Kumpulan latihan soal bsi dan kunci jawaban skip to main | skip to sidebar. Soal dan jawaban uts sistem informasi akuntansi bsi semester 3,. Here 2 soal quiz sistem informasi manajemen click here 3 soal interaksi .

Posting Komentar untuk "Contoh Soal Uts Sistem Informasi Manajemen Bsi Semester 3 / Soal Dan Jawaban Pra Uts Sim Bsi Pdf : Contoh soal uts sistem informasi manajemen bsi semester 3 contoh soal terbaru."